合作客户/
拜耳公司 |
同济大学 |
联合大学 |
美国保洁 |
美国强生 |
瑞士罗氏 |
相关新闻Info
Delta-8临界胶束浓度对于药物在生物体内的增溶性的重要性研究——实验部分
来源:上海榴莲视频APP下载网站入口 浏览 591 次 发布时间:2021-12-21
实验部分
化学制品。这些化合物要么在罗氏创新中心合成,要么从不同的商业来源购买。通过向1 L蒸馏水中添加4.86 g KH2PO4和2.02 g Na2HPO4(密苏里州圣路易斯市西格玛),制备pH值为6.5、0.05 M的磷酸盐缓冲液,然后通过密理博Express PLUS过滤器(德国达姆施塔特密理博0.22μM)过滤。FaSSIF buffer准备从SIF粉末(BioReavangtcom,Croydon,英国),根据一个详细的协议。15
在水和FaSSIF介质中的平衡溶解度。将精确称量的约1 mg化合物干粉置于玻璃管中,并添加330μL缓冲液。然后将样品超声处理1小时(Branson 1210,Branson Ultrasonics,Danbury,CT),在室温下摇动2小时,并静置过夜以平衡。第二天,检查样品的pH值,并通过MultiScreenHTS PCF过滤器(德国达姆施塔特密理博)过滤溶液。用0.05 M HCl/20%乙腈(v/v)稀释滤液的等份,以生成三种不同的样品:未稀释和稀释为1:10和1:100。化合物校准曲线由在0.05 M HCl/20%乙腈(v/v)中稀释的标准1 mg/mL二甲基亚砜溶液生成。校准标准品和样品随后通过LC进行分析−紫外线−MS,如下所述。
溶解度增强SE计算为在FaSSIF和水性缓冲液中测得的溶解度比率(等式1):
表面活性测定。化合物在DMSO中连续稀释超过12种不同浓度,并在pH值为6.5的0.05 M磷酸盐缓冲液中添加至最终10%的DMSO含量。最终化合物浓度默认范围为10 nM至10 mM。在第二次实验中,对于达到溶解度极限或需要对相关浓度范围进行解析以确定最佳参数的情况,定义了替代浓度范围。样品静置10分钟,以便在液体中平衡−空中接口。表面压力分布在张力计(MultiPi WS1,Kibron Inc.,芬兰赫尔辛基)上进行,通过之前的测量(72.8 mN/m)对50μL等份样品进行校准。通过对生成的等温线进行曲线拟合确定表面活性参数,并根据经典的空气吉布斯热力学理论进行计算−水里,脸上。主要导出参数如下。(i)考:空气−水分配系数,来自等式2
式中,π对应于表面压力,C对应于化合物浓度。(ii)CMC:对应于最大表面压力下平台截距和曲线外推斜率的临界胶束浓度(∂π/∂lnc)处于拐点(图3)。(iii)ΔΔGam:式3中的两亲性
式中,R是理想气体常数,T是以开尔文为单位的温度。(iv)As:界面面积,来自等式4

其中NA是阿伏伽德罗的数字。
电离研究。电离常数(PKA)是通过PrimuleSGA仪器(天狼星分析仪器有限公司,森林街,英国)分光光度法获得的。在室温下,以恒定流速将试验品的水溶液注入流动的pH梯度中。监测化合物紫外吸光度的变化,作为pH梯度的函数,并在紫外波长处测定电离常数,其中化合物吸光度的变化率达到最大值。通过按比例混合两种流动缓冲液(含10%/vol甲醇),建立pH梯度。缓冲液是弱酸和弱碱的混合物,在240 nm波长以上吸收不明显。对于电离常数未经实验测定的化合物,pKa是使用现有的公共和罗氏专利化合物训练的市售Moka-in-silico模型计算的。16
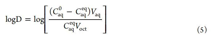
亲脂性(logD)测定。在分配实验之前,在室温下,辛醇和pH为6.5的25 mM磷酸盐缓冲液相互饱和。将化合物作为10mM的DMSO储备溶液添加到辛醇饱和磷酸盐缓冲液中,得到100μM的样品溶液。然后,将1.2 mL溶液通过密理博96深井过滤器(密理博,达姆施塔特,德国)过滤到Nunc 96深井板(Nalge Nunc International,Rochester,NY)中,并用200μL辛醇饱和磷酸盐缓冲液稀释至最终1.4 mL体积。将等分滤液(Vaq=150μL)转移至罗氏公司生产的Teflon 96孔板上,并通过自动液体处理系统覆盖DIF管(瑞士Rapperswill Weidmann Plastics Technology AG),预涂两种不同体积的辛醇(Voct=1和15μL;每种体积n=3)(Bio-RAPTR FRD,Beckmann Coulter,Brea,CA)或不含辛醇作为初始含水化合物浓度的参考(每种化合物n=2;Caq 0)。将分析试剂盒密封并在室温下摇动过夜,直到达到分布平衡。从特氟隆板顶部拆卸DIF管后,使用LC测定平衡时(Caqeq)和初始条件下(Caq0)水相中的化合物浓度−紫外线−MS,如下所述。
根据公式5计算分配系数logD

式中,Vaq和Voct分别是培养板上的饱和水相和辛醇相体积。
对于一些pH值为6.5的实验数据不可用的化合物,使用上述相同方法在pH值为7.4时测量logD,或使用计算程序Kow_clogP17或参考文献数据预测logP值。在这种情况下,使用ADMET预测器logD vs pH模型版本6.1(加利福尼亚州兰开斯特Simulations Plus,Inc.,Lancaster),基于参考文献18中开发的模型,将logD或logP值和表2中列出的pKa数据作为输入参数,实现了pH值为6.5时logD的外推。
表2。测定了51种化合物的表面张力特性
高效液相色谱法分析化合物浓度−紫外线−MS样品在安捷伦1260 Infinity(溶解度样品)或安捷伦1290 Infinity(logD样品)HPLC-MS系统(安捷伦科技,加利福尼亚州圣克拉拉)中进行分析,该系统配备DAD检测器和API单四重质谱仪(安捷伦6140,加利福尼亚州圣克拉拉)。将样品注入Kinetex XB 2.6μm、2.1×50 mm(溶解度样品)或Kinetex XB 1.7μm、2.1×30 mm(logD样品)分析柱(Phenomenex,Torrance,CA),在60°C下操作。流动相由a(水)和B(乙腈)组成,均含有0.1%体积的甲酸。使用通用快速梯度,以1.5 mL/min(溶解度样品)或1.0 mL/min(logD样品)的流速进行梯度洗脱。通过DAD检测器后,将洗脱液引入电喷雾界面,保持以下源设置:毛细管电压+3.5 kV,干燥气体流量(N2)13 L/min,雾化器压力60 psig,干燥气体温度350°C。伪分子离子强度积分,[M+H]+,在单反应监测模式(SRM)下获取。对于logD样品,通过注入1、3和5μL对照溶液完成MS数据的内部校准。如果UV灵敏度足够,则使用适当波长处的峰面积进行计算。





